原载自公众号mScience mCrop:https://mp.weixin.qq.com/s?__biz=MzU4MDEyNjk5Mw==&mid=2247513474&idx=1&sn=ab5a91b887a1e621fa1ff4b903813a57&chksm=fd5965fcca2eeceae560d6b311c5802b35c11f7cb28b060397311a0e5ee6e7439fa3399b164d&mpshare=1&scene=23&srcid=0607uzZ1qJjQBTxNLcyJ3JsC&sharer_sharetime=1654558354062&sharer_shareid=f5fabec8e743afde28f51daf841b5fd0#rd
近年来,有关苦荞黄酮合成途径关键酶基因的挖掘及其转录调控分子机制,以及抗逆相关转录因子基因功能的鉴定已成为领域研究热点。然而,上述功能研究主要在异源模式植物拟南芥和烟草中进行,基于苦荞毛状根的遗传转化体系也仅用于黄酮代谢研究。因此,建立有效的苦荞遗传转化体系,对苦荞生物学基础研究具有重要意义。
近期四川农业大学的赵海霞等人在《中国农业科学》发表了名为“苦荞愈伤遗传转化体系的优化及用于FtCHS1的过表达分析”的文章,为建立和优化苦荞愈伤组织遗传转化体系并为苦荞基因功能验证及分子育种提供研究工具。
研究人员以苦荞品种“西荞二号”为材料,对苦荞愈伤遗传转化条件进行优化,包括苦荞外植体类型、诱导愈伤的激素比例、继代培养基的激素比例及农杆菌类型。利用苦荞类黄酮生物合成关键酶基因FtCHS1的过表达验证优化后的遗传转化体系。通过PCR筛选和荧光观察鉴定阳性株系,采用紫外分光光度法和高效液相色谱法(high performance liquid,HPLC)测定花青素及黄酮醇支路代谢物含量,使用实时荧光定量PCR分析类黄酮合成相关基因的表达,比较FtCHS1过表达愈伤组织与对照组的差异。
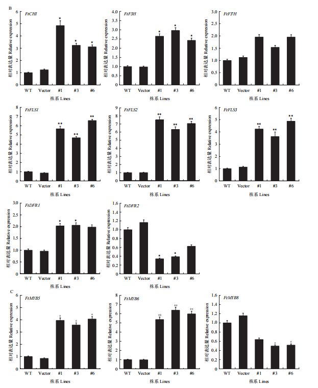
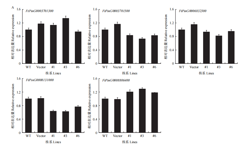
苦荞诱导愈伤组织的最佳外植体为下胚轴,其最适诱导培养基为MS+0.8 mg·L-1 6-BA+3.5 mg·L-1 2,4-D,诱导率达72 %(图1);最优继代培养基为 MS+3 mg·L-1 6-BA+1 mg·L-1 KT,愈伤组织增殖率与增殖系数分别为98 %和1.09;转化过程中的最佳农杆菌是GV3101,转化效率达31.3 %;FtCHS1过表达愈伤组织中,花青素、芦丁和杨梅素的含量显著高于对照(P<0.05),山奈酚和槲皮素的含量极显著高于对照组(P<0.01)(图2);外源FtCHS1的过表达对转基因愈伤组织5个内源同源基因FtCHSs的表达水平没有影响(P>0.05)(图3A),而FtCHI、FtF3H、FtFLS1、FtFLS2、FtFLS3和FtDFR1等黄酮合成途径关键酶基因均上调表达(P<0.05)(图3B)。此外,特异性正调控黄酮醇合成的转录因子基因FtMYB5和FtMYB6上调表达,而花青素合成抑制子基因FtMYB8的表达降低(P<0.05)(图3C)。

C1—C25:25种不同愈伤诱导激素组合;不同字母代表差异显著(P<0.05),误差棒表示±SDs。
图1 不同处理下的子叶和下胚轴愈伤诱导情况

图2 FtCHS1过表达对愈伤组织中黄酮醇/
花青素积累的影响

 
 
A:FtCHSs基因;
B:类黄酮代谢分支酶基因;
C:SG7亚家族转录因子基因和
SG4类亚家族转录因子基因
图3 过表达FtCHS1愈伤组织中
黄酮合成相关基因的表达量分析
综上所述,该研究通过对苦荞愈伤组织遗传转化体系条件的优化,建立了稳定有效的转基因苦荞愈伤组织诱导体系。过表达FtCHS1的愈伤组织可以通过调节类黄酮相关基因的表达来促进黄酮醇和花青素的积累。
原文信息:
赵海霞,肖欣,董玘鑫,吴花拉,李成磊,吴琦. 苦荞愈伤遗传转化体系的优化及用于FtCHS1的过表达分析[J]. 中国农业科学, 2022, 55(9): 1723-1734.
原文链接:
https://www.chinaagrisci.com/CN/10.3864/j.issn.0578-1752.2022.09.003